Getting the most from Phenyl Stationary Phases for HPLC
I’ve often written about the ‘lazy’ chromatography which has swept through our industry, whereby 0.1% (w/w or w/v!) TFA or Formic acid is used to ‘buffer’ the eluent system well away from the pKa of analyte molecules, leaving most acidic analytes in the ion suppressed form and most basic analytes in the ionised form. This approach avoids having issues with retention time drift and effectively eliminates pH as a variable used to control retention or selectivity for separations involving ionogenic analytes.
Of course, this makes us more reliant on the other variables available to control the selectivity, primary of which are the stationary phase and organic modifier (type and eluotropic ratio). We must, therefore, be open to exploring the selectivity of other stationary phase types in case the usual column of first intent (typically a C18 or C8 phase) does not produce a satisfactory separation.
Phenyl type phases can be useful when separating a variety of analytes including aromatic, polycyclic and unsaturated species, due to the π-π interactions between the electron rich double bonds within the analyte and stationary phase phenyl moieties. Relative retention compared to more hydrophobic phases is reported to increase in the order:

which correlates to the degree of π-electrons within the solute [1].
It should be noted here that these phases also undergo hydrophobic interactions with analytes, which often dominate the overall strength of interaction. Further, phenyl phases undergo weak electrostatic, hydrogen bonding and dipole-dipole interactions with analytes and under some classification systems they strongly differentiate on what are sometimes called analyte steric factors.
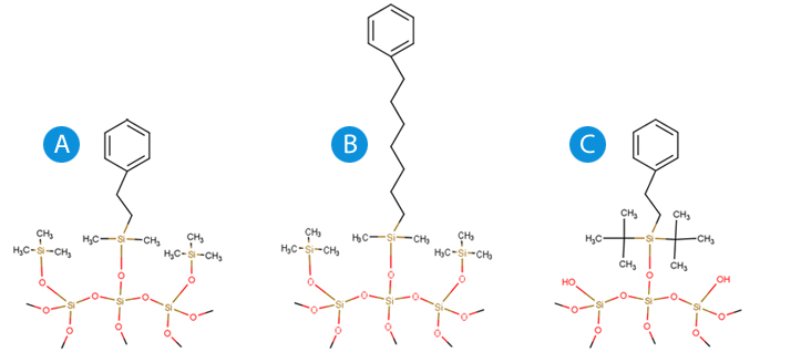
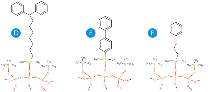
Understanding the chemical nature of the various types of phenyl phase can help to rationalise variation in retention and selectivity compared to the separation on other phases. Figure 1 shows just a snapshot of the various chemistries available which are generally described as phenyl or phenyl hexyl phases and which fall under the USP classification L11, and there are many more variants available. We are not considering pentafluorophenyl (PFP, USP L43) phases here as they have markedly different properties which will be explored in a future blog.
The chemistry of each of the phenyl phases is explained in the Figure 1 legend, however the main differences include; the number of aromatic groups (mono versus biphenyl), the length of the alkyl spacer between the silica surface and the phenyl group, the nature of the substituent groups on the bonded ligands (typically methyl or more sterically bulky isobutyl groups), the inclusion of an oxygen atom in the linker to activate the π electron system in the aromatic ring, and finally whether the silica stationary surface is endcapped or not.
Figures 2 and 3 show an investigation [1] which can be used to highlight some of the key properties of phenyl phases and how they might best be used to explore alternative retention and selectivity when C18 phases fail to produce a satisfactory separation.


Figure 1: Various forms of phenyl HPLC bonded phase:
A) Ethyl phenyl with methyl side groups and an endcapped silica surface
B) Phenyl hexyl phase with extended (hexyl) ligand spacer methyl side groups and an endcapped silica surface
C) Ethyl phenyl ligand with steric protection (isobutyl) side groups and a non-endcapped surface
D) Hexyl biphenyl with methyl side groups and endcapped silica surface
E) Biphenyl phase with methyl side groups and endcapped silica surface
F) Oxygen activated phenyl ethyl phenyl phase with methyl side groups and endcapped silica surface

Figure 2: Separation of a range of analytes using C18 and various types of phenyl stationary phase using methanol as organic modifier.

Figure 3: Separation of a range of analytes using C18 and a non-endcapped ethyl phenyl stationary phase using acetonitrile as organic modifier.
The compounds used in the investigation from left to right in the uppermost chromatogram of Figure 2 are;
- Anisole – a substituted benzene with an electron donating group
- 1-Nitronapthalene – a nitro-substituted aromatic with an electron withdrawing group
- Iodobenzene – a substituted benzene with an electron withdrawing group
- 1-Bromopentane – an aliphatic compound with electron withdrawing group
- Biphenyl – a polyaromatic hydrocarbon (PAH)
When comparing the behaviour of analytes with different stationary phases, it is also useful to analyse a number of analytes of the same class and compare the retention factor or retention time on both phases via a scatter plot with linear regression.
The slope of the regression plot indicates the relative strengths of analyte / stationary interaction compared to the base column (a C18 in this case), where a slope of 1 indicates equal strengths of interaction for the two columns. The slope values may be compared to assess relative strengths of interaction on each of the columns and between classes of compound.
The regression value gives an indication of the nature of the analyte - stationary phase interaction and where regression values are low, this indicates that the mechanisms of interaction differ and one might expect an orthogonal selectivity compared to the base column. Data of this type is represented in Table 1 and Figure 4.

Table 1: Retention data for various classes of compounds on C18 and phenyl ethyl stationary phases (analysis conditions as per Figure 2). [1]

Figure 4: Correlation of retention factor data for various compound classes on C18 and phenyl ethyl stationary phases.
So, lets examine the data collected here to begin to form some opinions about phenyl based stationary phases.
Figure 1 shows that, when using methanol as the eluent modifier, whilst general retention for analytes decreases compared to the C18 phase, there is peak swapping, which indicates a change in selectivity, especially for nitro-aromatics and substituted benzene compounds, which is confirmed via the low linear regression values (R2) in Figure 4.
Figure 1 also shows that the phenyl hexyl phase shows the longest retention of the phenyl phases, due to the dominant nature of the hydrophobic interaction between the analyte and hexyl spacer of the bonded ligand. The difference in strength of the π-π interactions is most noticeable when using phenyl phases with shorter alkyl spacers as the hydrophobic interaction becomes less dominant.
The variation in slope for the regression lines for each class of compound shows that the strength of interaction between analyte and stationary phase varies for each of the compound classes investigated. The large differences in regression co-efficient (R2) for each compound class indicates that the type of interaction between analyte and stationary phase changes for each compound class and this is widely attributed to the varying degree of π-π interaction which is possible between the analyte and the stationary phase. [2]
Nitro-aromatics which have electron withdrawing groups (activating the π electron system within the ring), tend to be relatively more retained than aliphatic compounds on phenyl columns than C18 columns (slope is greater than that for the aliphatic compounds in Figure 4).
It is postulated that this is due to the π electron system accepting electrons from the phenyl stationary phase, which is effectively acting as a Lewis base. It should be noted that the ability of the stationary phase to act as a Lewis base is amplified if an oxygen or electron donating atom is included just below the aromatic group of the stationary phase (phase F in Figure 1), therefore giving rise to stronger interactions with unsaturated systems with substituent electron withdrawing groups and an enhanced change in selectivity relative to aliphatic or fully saturated analytes.
Substituted benzenes with electron donating groups, are retained relatively less strongly than aliphatic compounds on phenyl versus C18 columns, and this is due to lower π-π interactions between analyte and stationary phase which are both electron rich (lower slope for the linear correlation co-efficient in Figure 4).
The ability to more strongly differentiate between analytes with different degrees of π electron activity make phenyl phases highly suitable for the separation of position isomers of aromatic compounds and for aromatic analytes in which the nature of substituent groups changes (Figure 5).

Figure 5: Enhanced separation of positional isomers of dinitrobenzene using a phenyl stationary phase (bottom) versus a C18 phase (top). [4]
It is interesting to note that, when using acetonitrile as the organic modifier, the selectivity of the separation does not change when switching from a C18 to the Ethyl Phenyl column, indicating that the relative influence of the π-π interaction compared to the hydrophobic interaction is lessened than when using methanol as the modifier. This is often attributed to π-π interactions between the acetonitrile molecules and the π electron systems of the analyte and/or stationary phase, which act to compete with analyte / stationary phase interactions. [3]
As I said in the introductory paragraph, knowing something of the stationary phase chemistry of phenyl based stationary phases and the relative strengths of interaction with analyte molecules, as well as the surprising differences in retention and selectivity when using methanol as opposed to acetonitrile as the organic modifier, will help you to select and rationalise your observations during HPLC method development. As we become less willing to ‘finesse’ our separations through eluent optimisation, knowledge of stationary phase chemistry and analyte interactions becomes increasingly important.
[1] Comparison of Selectivity Differences Among Different Agilent ZORBAX Phenyl Columns using Acetonitrile or Methanol, Agilent Technologies Publication, 5990-4711EN
[2] J. León E. Reubsaet, Rune Vieskar, “Characterization of π-π Interactions Which Determine Retention of Aromatic Compounds in Reversed-Phase Liquid Chromatography,” Journal of Chromatography A, 841 (1999) 147-154.
[3] Min Yang, Steven Fazio, David Munch, Patrick Drumm, “Impact of Methanol and Acetonitrile on Separations Based on π-π Interactions with a Reversed-Phase Phenyl Column,” Journal of Chromatography A, 1097 (2005) 124-129.
[4] Comparison of separation selectivity among YMC-Triart series, YMC Application Note F130201AE